Órbitas - Secundaria Spanish Version
Los seres humanos observaron que los planetas se mueven en el cielo de manera diferente a las estrellas. Mientras que las estrellas parecen fijas unas respecto a otras, los planetas se desplazan sobre ese fondo estelar.
Durante siglos se creyó que los planetas giraban alrededor de la Tierra en círculos perfectos. Con la revolución científica del siglo XVI y XVII, Copérnico propuso que la Tierra y los demás planetas orbitan alrededor del Sol, aunque todavía pensaba en trayectorias circulares.
Las leyes de Kepler
Johannes Kepler logró describir con precisión el movimiento de los planetas. Gracias a sus tres leyes se abandonó definitivamente el modelo geocéntrico y se mejoró el modelo heliocéntrico. Estas leyes explican no solo el movimiento de los planetas, sino también el de lunas, cometas y asteroides:
-
Primera Ley: La órbita de cada planeta es una elipse con el Sol en uno de sus focos.
-
Segunda Ley: El radio que une un planeta con el Sol barre áreas iguales en intervalos de tiempo iguales.
-
Tercera Ley: El cuadrado del período orbital de un planeta (T²) es proporcional al cubo del semieje mayor de su órbita (R³).

Ley de la Gravitación Universal (Newton, 1687)
Más tarde, Isaac Newton explicó por qué ocurre esto: todos los cuerpos del Universo se atraen entre sí mediante la fuerza de la gravedad. Estas leyes gobiernan el movimiento de planetas, satélites, cometas y asteroides. La fuerza entre dos cuerpos depende de sus masas y de la distancia que los separa.

G = 6.674 × 10⁻¹¹ N·m²/kg² (constante de gravitación universal)
Equilibrio de fuerzas
Cuando un cuerpo órbita alrededor de otro, existe un equilibrio entre:
-
La fuerza gravitatoria que lo atrae hacia el centro (Fg).
-
La fuerza centrífuga debida a su movimiento orbital (Fc).

Si asumimos una órbita circular y velocidad constante:

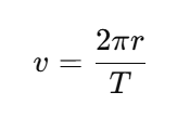
La velocidad orbital se relaciona con el período orbital (T) y el radio de la órbita (r).

¿Es posible calcular la masa de Júpiter?
Para calcular la masa de Júpiter podemos usar el movimiento de una de sus lunas, ya que su órbita está determinada por la gravedad del planeta. Sustituyendo en la ecuación de equilibrio orbital, se obtiene la fórmula que permite calcular la masa de Júpiter.

Con el objetivo de entender mejor Júpiter, su entorno y sus lunas heladas, la Agencia Espacial Europea (ESA) lanzó en 2023 la misión JUICE (JUpiter ICy moons Explorer). El vídeo “Misión Juice Rosario Lorente” explica más sobre estas lunas y los objetivos científicos de la misión.
